Stars and Planets

Module 0 > >

— Course description —

Chris Ormel

Stars and Planets

Instructor: Prof. Chris Ormel
New Physics Building, 2nd floor, E223

chrisormel@tsinghua.edu.cn

Teaching Assistant: Tian Yi (易天)
yit23@mails.tsinghua.edu.cn

Time: Thursday 19:20—21:45


Course layout

  • Lectures
  • Problem sets discussion
  • Student presentations on special topic (final weeks)
  • (Student reports)
  • Exam

communication

  • Tsinghua Cloud
    • course announcement (e.g., homework deadlines)
    • course material (problem sets, pdf printouts, data files)
    • do bookmark this site!
  • WeChat group
    • use for notifications and questions
    • use English; we will ignore any messages in Chinese
  • WebLearning (https://learn.tsinghua.edu.cn/)
    • for homework returns

      course number is 40920013-90

  • Email
    • homework return (if system is offline)
    • for office hour appointments
  • html Lectures notes
please join the WeChat group (if not already)

6 Modules

  1. Exoplanets
    How are the >5200 detected exoplanets found?

    planet detection techiques: radial velocity method, transits, microlensing, astrometry, direct imaging

  2. Planet Dynamics
  3. Light
  4. Matter under astrophysical conditions
  5. Birth
  6. Evolution

 

6 Modules

  1. Exoplanets
  2. Planet Dynamics
    How do planets move around stars?

    The two body problem, orbital elements, resonances, numerical integration techniques; three body problem, Lagrange points, tides, Earth-Moon system

  3. Light
  4. Matter under astrophysical conditions
  5. Birth
  6. Evolution

 

6 Modules

  1. Exoplanets
  2. Planet Dynamics
  3. Light
    How light plays its role in Astronomy

    distances, radiation, magnitudes, HR-diagram, atmospheres

  4. Matter under astrophysical conditions
  5. Birth
  6. Evolution

 

6 Modules

  1. Exoplanets
  2. Planet Dynamics
  3. Light
  4. Matter under astrophysical conditions
    How does material behave in stars?

    Equations of States: degenerate matter, hydrostatic balance, polytropes
    Nuclear fusion: energy reservoirs, proton-proton & CNO cycle, nucleosynthesis

  5. Birth
  6. Evolution

 

6 Modules

  1. Exoplanets
  2. Planet Dynamics
  3. Light
  4. Matter under astrophysical conditions
  5. Birth
    How do stars and planets form?

    Star formation: virial theorem, Jeans mass, initial mass function, Eddington Luminosity, Dispersion relationship, gravitational instability
    Planet formation: protoplanetary disks, disk instability and core accretion, gravitational focusing and runaway growth

  6. Evolution

 

6 Modules

  1. Exoplanets
  2. Planet Dynamics
  3. Light
  4. Matter under astrophysical conditions
  5. Birth
  6. Evolution
    How do stars evolve and meet their end?

    mean free path and opacity, energy transport, stellar structure equations, stellar evolution, features in HR-diagram, homology, burning sequences, nucleosynthesis

 

Material

 

  1. Reference Books
    • An Introduction to Modern Astrophysics

      2nd edition; Carroll & Ostlie (2006); Main reference book for this course (but not all chapters will be discussed!) [jd.com]

    • Stellar Structure and Evolution

      (Astronomy and Astrophysics Library) 3 STG Edition by Kippenhahn, Rudolf, Weigert, Alfred published by Springer (1996)

    • Solar System Dynamics

      by Murray & Dermott, Cambridge University Press (1999)

    • The Astrophysics of Planet Formation

      by Armitage, Cambridge University Press (2009)

    • Dynamics of Planetary Systems

      by Tremaine, Cambridge University Press (2009)

The B.O.B.

Material

 

  1. Reference Books
    • An Introduction to Modern Astrophysics
  2. Html lecture notes
    • Available from my homepage
    • Tested with Firefox, Chrome/Chromium, and MS Edge browsers. Download them if necessary

      MS Internet Explorer is not supported!

Material

 

  1. Reference Books
    • An Introduction to Modern Astrophysics
  2. Html lecture notes
    • Available from my homepage
    • Princeton Series in Astrophysics Mind nested pages !!
    • hint: press o for slide overview
nested page. Press <down> button to continue with the nest!
nested pages have ended. Press <right> to continue with the next topic

Material

 

  1. Reference Books
    • An Introduction to Modern Astrophysics
  2. Html lecture notes
    • Available from my homepage
    • Princeton Series in Astrophysics
    • read all the text. You should for sure learn all magenta-highlighted terms!

      Don't forget to read the small fonts. I may skip some details in class, but it may help you to comprehend the material when you reviewing it.

Material

 

  1. Reference Books
    • An Introduction to Modern Astrophysics
  2. Html lecture notes
    • Available from my homepage
    • Princeton Series in Astrophysics
  3. Blackboard

    You need to be able to follow, understand, and derive yourself the material presented on the blackboard.

    Some material may not be covered in the book! So, do attend the lectures!

E = mc2

Material

 

  1. Reference Books
    • An Introduction to Modern Astrophysics
  2. Html lecture notes
    • Available from my homepage
    • Princeton Series in Astrophysics
  3. Blackboard

    You need to be able to follow, understand, and derive yourself the material presented on the blackboard.

  4. Online resources (www) and (especially) Wikipedia

    Wikipedia is today's Library of Alexandria. A true gem, indispensable to the modern scientist.
    I have tried to place references (links) as much as possible. You should do the same in your reporting.

Units in Astronomy


Like most astronomers, I will use the cgs (centimeter-gram-seconds) or Gaussian unit system.

The most radical difference with SI units is that the Gauss unit system omits proportionality constants in the electromagnetic laws. For example, the Coulomb law becomes

That is, without the proportionality constant of . The drawback of this choice is that other electromagnetic laws — notably Maxwell's equations — also look different. But we won't use them in this course

In your problem sets, you are welcome to use SI units. But take care and be consistent!

unitcgs unitabbrev.SI unit
lengthcentimetercm10-2m
timesecondss1 s
massgramg10-3 kg
energyergerg10-7 J
pressureerg cm-310-1 Pa
magnetic-BGaussG10-4 T
cgs units

fundamental and astronomical constants in cgs and SI


constantsymbolcgs valueunitSI valueunit
Astronomical unitau1.496×1013cm1.496×1011m
Atomic mass constantmu1.661×10-24g1.661×10-27kg
Boltzmann constantk1.381×10−16erg K-11.381×10−23J K-1
Electron massme9.109×10−28g9.109×10−31kg
Electron volteV1.602×10−12erg1.602×10−19J
Elementary chargee4.803×10−10cm3/2 g1/2 s-11.602×10−19C
Gravitational constantG6.674×10−8cm3 g-1 s-26.674×10−11m3 kg-1 s-2
Planck constanth6.626×10−27erg s6.626×10−34J s
Solar luminosityL3.828×1033erg s-13.828×1026W
Solar radiusR6.957×1010cm6.957×108m
Solar massM1.988×1033g1.988×1030kg
Speed of light in vacuumc2.998×1010cm s-12.998×108m s-1
Some (fundamental) constants in cgs and SI units

Dimensional analysis

Dimensional analysis:

  • to check the equations
  • to predict the form of the expression

    you will not get the numerical prefactor right

  • Example of dimensional analysis problems:
    • what is the free-fall time of a collapsing (spherical) cloud?

Order-of-magnitude physics

Order-of-magnitude (OOM) calculations

to estimate the significance of an effect without performing a "lengthy" derivation

  • answer can be off by factor 10 (or more...) but likely not by much more
  • use the "~" symbol

Example of OOM problems

  • what is the mass of a cow?
  • what is the distance to the Moon; its radius; and its surface gravity?
1m
in oom calculations, cows are spherical

grading


grading


Grade = 0.2 PS + 0.2 Exam/quiz
               +0.1 max(
Exam/quiz , in-class quizzes )
               +0.2 max(
Presentation,[Report] )
               +0.2 max(
Exam/problems, PS, [Report] ) )
               +0.1 max2(
Exam/problems, PS, [Report] )

Course Elements and Grade contribution

  • Problem sets (20%)

    In addition, the score can also be used towards one of the Free Areas

  • Exam:
    • Problem part

      Similar to the Problem Sets. The score can contribute towards one of the Free Areas (below)

    • Quiz part (20%)

      Similar to the in-class quizzes. Multiple choice questions

  • In-class quizzes (10%)

    you may substitute your score for the Exam (Quiz part) here

  • Research Project
    • Presentation (20%)

      Every students gives a presentation about their project. Scheduled for the final 2 weeks. The score on the presentation can be replaced by the report.

    • Report

      This is optional. You can replace the score of the Presentation with it OR count it towards one of the Free space (but not both!)

grading


Grade = 0.2 PS + 0.2 Exam/quiz
               +0.1 max(
Exam/quiz , in-class quizzes )
               +0.2 max(
Presentation,[Report] )
               +0.2 max(
Exam/problems, PS, [Report] ) )
               +0.1 max2(
Exam/problems, PS, [Report] )

More grade optimization

  • 30% of your final grade falls in the Free Area, which counts the best of your score on:
    • Problem sets
    • Exam (Problems part)
    • Report
  • Area I (20%)

    The best of the above three elements

  • Area II (10%)

    Like the above, where we take the 2nd-best score

grading


Grade = 0.2 PS + 0.2 Exam/quiz
               +0.1 max(
Exam/quiz , in-class quizzes )
               +0.2 max(
Presentation,[Report] )
               +0.2 max(
Exam/problems, PS, [Report] ) )
               +0.1 max2(
Exam/problems, PS, [Report] )

Examples

NamePSEx/QEx/Prin-class Q.Present.ReportFree Area
Ann0.40.30.10.2I=PS; II=Ex/Pr
Ben0.40.20.10.20.1I=PS; II=Report
Caro0.20.20.10.10.20.2I=Report; II=Ex/Pr
Donald0.30.30.20.2I=Ex/Pr; II=PS
contribution of various components to the final grade

  • Ann struggles with her presentation and the in-class quizzes. She performs very well on her PS
  • Ben performs very well in class, but has a blackout during the exam. His final score minimizes the exam components.
  • Because of late returns, Caro got lower grades on some problem sets. So she minimizes this component.
  • Donald does not want to write a report. He performs extremely well on the exam day.

historical grade distribution

for the Stars and Planets course

Problem sets

  • About 6 in total. Typically 1 per module.

    PS will be distributed on the day when the module is first discussed in class. They must be returned one week after the last day the module has been covered in class

  • Collaboration is allowed, but hand in by yourself

    you should be able to motivate and reproduce your solution independently. We will be very strict on academic misconduct. Do NOT blindly copy homework from others. Do NOT conduct in plagiarism when writing reports. Always state references.

  • Go easy on chatGPT/DeepSeek or other AI-tools

    you do not learn anything when asking chatGPT to solve the problems for you, it will lead to lower grades, and it will take the TA much more effort to grade. Same rules as under collaboration apply. If you cannot reproduce your own solution or you cannot explain your methodology, you will get 0 points for the entire PS.

  • Hand in solutions as pdf or hand-written.
    • Scans/photos/MS-word docs are not allowed! Write in English.
    • Those that typeset their PS beautifully (text, equations, and figures) will be awarded a +10pt bonus;
    • Our strong suggestion: use Latex/Overleaf
    • Upload pdf solutions to WebLearning
    • Strict deadlines. Late returns are subject to a   —10pt penalty/day

problem sets tips and examples

  • Label figures (axes!) appropriately
  • When using LaTeX, use equation environment

    \begin{equation} E=mc^2 \end{equation}

  • Do not insert screenshots of source code into your answer
  • Write down the symbolic expression first, then fill in numbers.

    No need to write down the numerical values if these have already been stated.

    When asked ("What is", "Give the value", etc...) do give the numerical value at the end!

  • State the units
  • Give only 1 answer!

    Suggestion: start with your primary answer and state additional arguments in brackets. (We will ignore them when they are wrong)

(anonymous) — This figure is a screenshot (resolution too low!), there are no axis labels (and units!), the aspect ratio is also unnatural.

problem sets tips and examples

  • Label figures (axes!) appropriately
  • When using LaTeX, use equation environment

    \begin{equation} E=mc^2 \end{equation}

  • Do not insert screenshots of source code into your answer
  • Write down the symbolic expression first, then fill in numbers.

    No need to write down the numerical values if these have already been stated.

    When asked ("What is", "Give the value", etc...) do give the numerical value at the end!

  • State the units
  • Give only 1 answer!

    Suggestion: start with your primary answer and state additional arguments in brackets. (We will ignore them when they are wrong)

(anonymous) — Axis are appropriately labeled, apt choice of logarithmic y-scale, multiple lines in single plot.

problem sets tips and examples

  • Label figures (axes!) appropriately
  • When using LaTeX, use equation environment

    \begin{equation} E=mc^2 \end{equation}

  • Do not insert screenshots of source code into your answer
  • Write down the symbolic expression first, then fill in numbers.

    No need to write down the numerical values if these have already been stated.

    When asked ("What is", "Give the value", etc...) do give the numerical value at the end!

  • State the units
  • Give only 1 answer!

    Suggestion: start with your primary answer and state additional arguments in brackets. (We will ignore them when they are wrong)

(anonymous) — font sizes are not in proportion! Super ugly. No bonus points!
(anonymous) — equation runs off the page. No bonus points!

problem sets tips and examples

  • Label figures (axes!) appropriately
  • When using LaTeX, use equation environment

    \begin{equation} E=mc^2 \end{equation}

  • Do not insert screenshots of source code into your answer
  • Write down the symbolic expression first, then fill in numbers.

    No need to write down the numerical values if these have already been stated.

    When asked ("What is", "Give the value", etc...) do give the numerical value at the end!

  • State the units
  • Give only 1 answer!

    Suggestion: start with your primary answer and state additional arguments in brackets. (We will ignore them when they are wrong)

(anonymous) — We will ignore mathematica screenshots. So do not add them to your homework. Just say "the integral numerically evaluates to XXX" is enough.

problem sets tips and examples

  • Label figures (axes!) appropriately
  • When using LaTeX, use equation environment

    \begin{equation} E=mc^2 \end{equation}

  • Do not insert screenshots of source code into your answer
  • Write down the symbolic expression first, then fill in numbers.

    No need to write down the numerical values if these have already been stated.

    When asked ("What is", "Give the value", etc...) do give the numerical value at the end!

  • State the units
  • Give only 1 answer!

    Suggestion: start with your primary answer and state additional arguments in brackets. (We will ignore them when they are wrong)

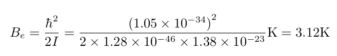
"
first give the symbolic expression, then fill in numbers (like done here)
.. no need to write down value of Planck constant
.. not necessary to state value of I if previously stated, or say:
where I=... has been used
where the above value of I has been adopted, etc.
(anonymous) — Clear and to the point. Values of variable (T, EI) had already been given earlier (no need to repeat) or are fundamental constants (h, k, me).

matplotlib tutorial

for dummies

—By Tian Yi—

TA Tian Yi will provide a tutorial how to use python/matplotlib and related packages. In this tutorial you will learn:

  • how to install relevant packages onto your laptop

    python3, matplotlib, jupyter lab, rebound

  • how to create publication-quality ready plots


The tutorial is voluntarily but strongly recommended, especially if you do not know how to make plots. I suggest:

  • See if you can install the packages and do the assignments yourself
  • Let Tian Yi know when you are available

    Tian Yi will send out a WeChat questionnaire on this

research project

You will be conducting a research project in the area of numerical gravitational dynamics. The procedure is the following:

  1. You complete the PS on numerical gravitational dynamics.

    See Tsinghua Cloud. The performance must be satisfactory, as judged by TA Tian Yi.

  2. You pick a project from the list

    A fuller description on each of these topcis will be provided. The deadline to complete the problems and pick a project is 30 April. Projects are distributed on a first come, first serve basis. More challenging projects (two stars) may take more effort, but can achieve higher scores. If you miss the deadline, you will be assigned a standard project.

  3. You work in teams of 2

    You are expected to address the questions raised in the description. But you are free to widen the scope of the research.

  4. You present your findings
  5. You write a report about your findings

    This is optional. See grading procedure.

topiclevel
standard problems
Hill sphere interactions
disintegrating exoplanets
particle settling in disks
particle orbital decay in disks
advanced problems
pebble accretion
the Earth-Moon system
stability in αCentauri
resonance trapping
planet orbit crossing
Kozai-Lidov oscillations
challenging problems
viscous stirring☆☆
planetesimal scattering & accretion☆☆
the solar system back in time☆☆

Weekly Notes

Notes 29.05

Today's Agenda

  • Student presentations
  • Quiz 7
  • Student presentation
  • Exam notes
TeamProject
Y.L. Ariel & TongSolar system back in time ★ ★
Jian & KeyiStability in the αCen system
Qishen & YukeOrbit crossing ★ ★
Dewang & Xinyang3-body problem: interactions around the Hill sphere
Lei & ZhenhaoPebble accretion
status: 😃 😶 😣 😧 🥵
dayagendanotes
29.05Quiz about M6
Dewang & Xinyang
Zhenhao & Lei
Jian & Keyi (20+10min)
Discuss PS-5
30.05 23:59Deadline PS-6
05.06Qishen & Yuke (22+10min)
Y.L. Ariel & Tong
Last teaching day
Discuss PS-6
12.06 EXAM !!!19:00—22:00 (E225)
13.06 Graduating students: hand-in report
other student: declare your intention
report is optional
15.06 Graduating student grades need to be uploaded
25.06Deadline to hand in the reports
30.06Fill out questionnaire
  remaining schedule

Notes 22.05

Today's Agenda

  • Project update
  • Finish M6/Stellar Evolution
  • Presentation tips
TeamProjectStatus
Y.L. Ariel
Tong
Solar system back in time ★ ★
Jian
Keyi
Stability in the αCen system
Qishen
Yuke
Orbit crossing ★ ★
Dewang
Xinyang
3-body problem: interactions around the Hill sphere
Lei
Zhenhao
Pebble accretion
status: 😃 😶 😣 😧 🥵
dayagendanotes
22.05finish M6/evolution
29.05Quiz about M6
Jian & Keyi (20+8min)
Zhenhao & Lei
Dewang & Xinyang
Discuss PS-5
30.05 23:59Deadline PS-6
05.06Qishen & Yuke (22+10min)
Y.L. Ariel & Tong
Last teaching day
Discuss PS-6
12.06 EXAM !!!19:00—21:00 (E225)
13.06 Graduating students: hand-in report
other student: declare your intention
report is optional
15.06 Graduating student grades need to be uploaded
25.06Deadline to hand in the reports
  remaining schedule

Notes 15.05

Today's Agenda

  • Quiz
  • Project update
  • PS-4 recap (Tian)
  • Continue M6/Stellar Evolution
TeamProjectStatus
Y.L. Ariel
Tong
Solar system back in time ★ ★
Jian
Keyi
Stability in the αCen system
Qishen
Yuke
Orbit crossing ★ ★
Dewang
Xinyang
3-body problem: interactions around the Hill sphere
Lei
Zhenhao
Pebble accretion
status: 😃 😶 😣 😧 🥵
dayagendanotes
15.05continue M6/evolution
Quiz about M5
discuss PS-4
deadline PS-5
22.05finish M6/evolution
discuss PS-5
29.05Quiz about M6
Jian & Keyi (20+8min)
Zhenhao & Lei
Dewang & Xinyang
deadline PS-6
05.06Qishen & Yuke (22+10min)
Y.L. Ariel & Tong
Discuss PS-6
Last teaching day
12.06 EXAM !!!19:00—21:00 (E225)
xx.xxDeadline to hand in the report
  remaining schedule

Notes 08.05

Today's Agenda

  • Continue M5/Birth
  • Start M6/Stellar Evolution
TeamProjectStatus
Y.L. Ariel
Tong
Solar system back in time ★ ★
Jian
Keyi
Stability in the αCen system😃
Qishen
Yuke
Orbit crossing ★ ★😃
Dewang
Xinyang
3-body problem: interactions around the Hill sphere😧
Lei
Zhenhao
Pebble accretion😶
status: 😃 😶 😣 😧 🥵
dayagendanotes
08.05finish M5/Birth, start M6/evolution
15.05continue M6/evolution
Quiz about M5
discuss PS-4
deadline PS-5
22.05finish M6/evolution
discuss PS-5
29.05Quiz about M6
Jian & Keyi
Zhenhao & Lei
Dewang & Xinyang
deadline PS-6
05.06Qishen & Yuke
Y.L. Ariel & Tong
Discuss PS-6
Last teaching day
12.06 EXAM !!!19:00—21:00 (E225)
xx.xxDeadline to hand in the report
  remaining schedule

Notes 24.04

Agenda

  • Project update...
  • Continue M5/Birth

Projects table

studentstatusproject
Y.L. ArielSolar system back in time
Dewang3-body problem: interactions around Hill sphere
Jianstability in αCen system
Keyiret.(1)
QishenOrbit crossing
Tongret.(1)
Xinyangsubm.(1)
ZhenhaoPebble accretion

dayagendanotes
24.04M5/Birthdeadline PS-4
30.04deadline to finalize the topic of your mini-research project
01.05Labor day — no class
08.05M5/Birth
15.05start M6/evolutiondeadline PS-5
22.05finish M6/evolution
29.05project presentationsdeadline PS-6
05.06project presentationsLast teaching day
TBD exam
  upcoming schedule

Notes 17.04

Agenda

  • Project update...
  • Continue M4/Astromatter
  • Quiz M4/Astromatter
  • Review PS-3 (TA Tian)
  • Review PS-4 problems
  • Start Module 5

Project update

studentstatusproject
Y.L. Arielret.(1)
Dewangret.(1)
Jianret.(1)
Tongret.(1)
Qishenret.(1)
ZhenhaoPebble accretion

dayagendanotes
17.04M4/Astromatter (finish); start M5/Birth
24.04M5/Birthdeadline PS-4
30.04deadline to finalize the topic of your mini-research project
01.05Labor day — no class
08.05M5/Birth
15.05start M6/evolutiondeadline PS-5
22.05finish M6/evolution
29.05project presentationsdeadline PS-6
05.06project presentationsLast teaching day
TBD exam
  upcoming schedule

Notes 10.04

Agenda

  • Project update...
  • Continue M4/Astromatter
  • Review PS-2 (TA Tian)
  • Finish(?) M4/Astromatter
  • Review PS-4 problems

Project update

studentstatusproject
Zhenhaoret.(1)
Qishenret.(1)
Dewangret.(1)

dayagendanotes
10.04M4/Astromatterdeadline PS-3
17.04M4/Astromatter (finish); start M5/Birth
24.04M5/Birthdeadline PS-4
30.04deadline to finalize the topic of your mini-research
01.05Labor day — no class
08.05M5/Birth
15.05start M6/evolutiondeadline PS-5
22.05finish M6/evolution
29.05project presentationsdeadline PS-6
05.06project presentationsLast teaching day
TBD exam
  upcoming schedule

Notes 03.04

Agenda

  • Project update...
  • Review PS-3 problems
  • Start M4/Astromatter
  • Review PS-2

    next week by Tian

dayagendanotes
03.04M4/Astromatter
10.04M4/Astromatterdeadline PS-3
17.04M4/Astromatter (finish?); start M5/Birth
24.04M5/Birthdeadline PS-4
30.04deadline to finalize the topic of your mini-research
01.05Labor day — no class
08.05M5/Birth
15.05start M6/evolutiondeadline PS-5
22.05finish M6/evolution
29.05project presentationsdeadline PS-6
05.06project presentationsLast teaching day
TBD exam
  upcoming schedule

Notes 27.03

Notes

  • Project update?

Agenda

  • PS-2 due
  • Finish M3.light
  • Start M4.Astromatter (??)
  • Project overview (Tian)
dayagendanotes
27.03finish M3/Light, start M4/Astromatterdeadline PS-2
03.04M4/Astromatter
10.04M4/Astromatter (finish?)deadline PS-3
17.04M5/Birth
24.04M5/Birthdeadline PS-4
30.04deadline to finalize the topic of your mini-research
01.05Labor day — no class
...(3 other May lectures)
29.05project presentations
05.06project presentationsLast teaching day
TBD exam
  upcoming schedule

Notes 20.03

Notes

  • Rules for project returns posted
  • Quiz-2 avg. score: 70%

Agenda

  • Finish M2.dynamics (Tides)
  • Quiz-3
  • Review PS-2
  • Start M3.Light
  • Project overview (Tian)
dayagendanotes
20.03finish M2/Dynamics, start M3/Light
27.03finish M3/Light, start M4/Astromatterdeadline PS-2
03.04M4/Astromatter
10.04M4/Astromatter (finish?)deadline PS-3
17.04M5/Birth
24.04M5/Birthdeadline PS-4
30.04deadline to finalize the topic of your mini-research
01.05Labor day — no class
...(3 other May lectures)
29.05project presentations
05.06project presentationsLast teaching day
TBD exam
  upcoming schedule

Notes 13.03

Agenda

  • Quiz-2 is NOW!
  • Continue M2.dynamics (Hill radius, Roche Limit, Tides)
  • review PS-1 (Tian)
  • Project overview (Tian)
dayagendanotes
13.03continue M2/Dynamics, Discuss PS-1Quiz-2
20.03finish M2/Dynamics, start M3/Light
27.03finish M3/Light, start M4/astromatterdeadline PS-2
....(4 April lectures)
end Aprildeadline to finalize the topic of your mini-research
01.05Labor day — no class
...(3 other May lectures)
29.05project presentations
05.06project presentationsLast teaching day
TBD exam
  upcoming schedule

Notes 06.03

  • Deadline PS-1 is NOW!
  • Quiz-1 average score = 43%

    (not answering anything would have given you 50%)

dayagendanotes
06.03continue M2/Dynamics
Project Introduction
deadline PS-1
13.03finish? M2/Dynamics
Discuss PS-1
....(2 other March lectures)
....(4 April lectures)
end Aprildeadline to finalize the topic of your mini-research
01.05Labor day — no class
...(3 other May lectures)
29.05project presentations
05.06project presentationsLast teaching day
TBD exam
  upcoming schedule

Notes 27.02

dayagendanotes
27.02Quiz-1
start M2/Dynamics
02.03 10:00matplotlib tutorial (TA Tian Yi)outside regular class; optional
06.03continue M2/Dynamics
Project Introduction
deadline PS-1
13.03finish? M2/Dynamics
Discuss PS-1
....(2 other March lectures)
....(4 April lectures)
end Aprildeadline to finalize the topic of your mini-research
01.05Labor day — no class
...(3 other May lectures)
29.05project presentations
05.06project presentationsLast teaching day
TBD exam
  upcoming schedule

Course Schedule

dayagendanotes
20.02M0/Introduction + Quiz-0
M1/Exoplanets... M2/Dynamics
Quiz-0 is not graded
27.02start/continue M2/Dynamics
TBD matplotlib tutorial (TA Tian Yi)outside regular class; optional
05.03continue M2/Dynamics
Project Introduction
deadline PS-1
....(3 other March lectures)
....(4 April lectures)
end Aprildeadline to finalize the topic of your mini-research
01.05Labor day — no class
...(3 other May lectures)
29.05project presentations
05.06project presentationsLast teaching day
TBD exam
  upcoming schedule

Elementary presentation tips

 

  1. you communicate with the audience
    • the goal/focus are not the presentation slides; they are a means
    • do not read off your presentation... you should face the audience
  2. Take care of a clear message
  3. Do not overload your talk/slides with information
  4. Miscellaneous
  5. Finally...

Elementary presentation tips

 

  1. you communicate with the audience
  2. Take care of a clear message
    • Your goal is that the audience remembers at least one, (perhaps 2, 3) take home message. The rest is bonus.
    • The goal is not to impress your teacher/fellow students by the extent of your knowledge by showing off
    • practice your talk in front of a student unfamiliar with your topic and ask him/her afterwards what he/she remembers
  3. Do not overload your talk/slides with information
  4. Miscellaneous
  5. Finally...
a clear, informative message
the illustration reinforces the message
example from DoA student seminar class by Xuesong Wang

Elementary presentation tips

 

  1. you communicate with the audience
  2. Take care of a clear message
  3. Do not overload your talk/slides with information

    in principle, everything on your slides must be explained!

    • make sure there is a simple and logical order
    • perhaps start with a blank page and build it up
    • avoid (boring) text-only slides
    • figures must be clear, label axes, all text must be readable
    • write down the THM and spell it out orally
  4. Miscellaneous
  5. Finally...
This header is not very informative;
slide contains perhaps too many topics
This figure contains much information, but does it
make clear why there is a brightness amplification?
example of presentation by a graduate student. The slide outline is a little messy. Think about the point you want to make first.

Elementary presentation tips

 

  1. you communicate with the audience
  2. Take care of a clear message
  3. Do not overload your talk/slides with information
  4. Miscellaneous

    — NO special effects, etc.
    — be careful with jargon and acronyms (explain them!)

    — don't go overtime

  5. Finally...
very annoying animation... we don't like "special effects" in scientific presentations

Elementary presentation tips

 

  1. you communicate with the audience
  2. Take care of a clear message
  3. Do not overload your talk/slides with information
  4. Miscellaneous
  5. Finally...

    Giving talks is hard (for most of us). I do not expect it to be perfect (and so should you!). Be patient, realistic, and receptive towards feedback and you will improve slowly but steadily.

Elementary presentation tips

Concretely for your talk:

  • Goal is educational; the class should learn something
  • About 10 slides max.

    you typically will need >1 minute/slide

  • Make clear how the specific topic of your talk fits in the broader context

    For example, when your topic is "three body resonances in the TRAPPIST-1 system", you need to introduce (i) exoplanet systems; (ii) the TRAPPIST-1 star; and (iii) what three-body resonances are.

  • No more than 2 figures (preferably 1) per slide. Animations may be great for illustration

    For each figure: explain what we see. Animations also take time to explain (don't have too many)

  • End with clear conclusions/take-home messages

    2 or 3 are enough. Do not just read them. A graphical presentation is better

  • Also, state a multiple-choice question like:
    in the TRAPPIST-1 system, the three-body resonance forms from which combination of MMR?
    (a) 8:5 and 5:3; (b) 2:1 and 2:1; (c) something else

Exam Notes

Grade = 0.2 PS + 0.2 Exam/quiz + 0.1 Exam/problems
               +0.1 max(
PS , Exam/problem
               +0.1 max(
Exam/quiz , in-class quizzes )
               +0.2 max(
Presentation,[Report] )
               +0.2 max(
Exam/problems, PS, [Report] ) )
               +0.1 max2(
Exam/problems, PS, [Report] )

Part-A (Exam/quiz) tests Concepts

  • Counts for 20%

    or 30% if score is higer than the in-class quizes

  • multiple-choice questions (about 30); same rules as for the classes.

    For questions where 1 answer must be selected, gambling means 0 points; leave question open gives you 0.5pt

  • The one-answer-is-correct questions are marked with double asterix ("**")

    all answers are listed (a), (b) etc

  • Time limit = 1h max
    • No books, tablets, etc. allowed
    • Write your answers on a clean sheet paper

Exam Notes

Grade = 0.2 PS + 0.2 Exam/quiz + 0.1 Exam/problems
               +0.1 max(
PS , Exam/problem
               +0.1 max(
Exam/quiz , in-class quizzes )
               +0.2 max(
Presentation,[Report] )
               +0.2 max(
Exam/problems, PS, [Report] ) )
               +0.1 max2(
Exam/problems, PS, [Report] )

Part-B (Problems) tests problem solving

  • Counts for either 20%, 10%, or 0%

    depending on how you structure the grading matrix

  • questions similar to those in the problem set
  • Time limit = 3h in total for both Part A and B
    • No books, tablets, etc. allowed
    • Write your answers on a clean sheet paper
  • A cheatsheet will be provided