Stars and Planets

< < Module 5 > >

—Birth—

Chris Ormel

Roadmap module 5

Initial Mass Function (IMF)

The initial distribution of stars (after their formation) by their mass

Eddington Luminosity

The Luminosity at which radiation outweighs gravity

Virial Theorem

A fundamental relation between kinetic/thermal energy and gravitational energy for "relaxed" systems of many particles (stars as well as gas). Frequently employed by astronomers to find the "dynamical mass".

 

Jeans Mass

a critical mass above which the cloud will collapse

 

Dispersion relationship

A relation how a fluid responds to perturbations on a certain scale. A frequently used tool to investigate whether fluids are stable

|

Protoplanetary Disks

The environment where planets are born

Disk instability and core accretion

Planet formation models that describe the formation of terrestrial planets, the cores of giant planets, and gas giants

  • Toomre Q criterion
  • Giant planet formation
  • planetesimal formation
Class 0, 1, 2 and debris disk
  • Coagulation
  • Gravitational focusing
  • Pebble accretion

Virial Theorem and Star Formation

  • Virial theorem
  • Cloud collapse
  • Cloud fragmentation

Virial theorem

— read CO 2.4 —

 

  • The Virial Theorem postulates that for self-gravitating systems:
    • for an N-particle system;
    • for gaseous objects

    where nvir is a positive number, T is the kinetic, Uint the internal energy and W the total gravitational (potential) energy and <..> denotes the time-average. In other words, the virial theorem holds when the system has relaxed into a steady configuration.


    Proof goes along these lines. The quantity

    time-averages to 0. Q (the "virial") is itself the derivative of the moment of inertia. For a gravitating gas, we derive from the hydrostatic balance equation

    To proceed, must be linked to the internal energy per unit mass . For an ideal gas this is just

    where is the number of free degrees and is the heat capacity ratio. For a mono-atomic gas, , and .

Virial theorem

— read CO 2.4 —

 

  • The Virial Theorem postulates that for self-gravitating systems:
    • for an N-particle system;
    • for gaseous objects

    where nvir is a positive number, T is the kinetic, Uint the internal energy and W the total gravitational (potential) energy and <..> denotes the time-average. In other words, the virial theorem holds when the system has relaxed into a steady configuration.

  • Specific examples include:
    •   (fully ionized or mono-atomic gas)
    •   (radiation gas)

Virial theorem

— read CO 2.4 —

 

  • The Virial Theorem postulates that
    • for an N-particle system;
    •   (fully ionized or mono-atomic gas)
    •   (radiation gas)
  • The virial theorem is not the same as energy conservation!

    Conservation of energy dictates that where the total energy is conserved in an isolated system. Hence we obtain that objects in virial equilibrium obey (a different prefactor may apply if the gas is not mono-atomic).
    Note — the expression for the virial theorem can be extended to include magnetic support, rotational support etc.

Virial theorem

— read CO 2.4 —

 

  • The Virial Theorem postulates that
    •   (fully ionized or mono-atomic gas)
    •   (radiation gas)
  • The virial theorem is not the same as energy conservation!
  • Applications:
    • (Proto-)stars heat up when they contract:

      Protostars (no nuclear burning) lose energy. Of the gravitational energy liberated during contraction, half is radiated and the other half goes into internal energy. Stars heat up while loosing energy!
      This corresponds to moving from state A → B in the figure right

    • Stars are thermodynamically stable

      They expand and cool down when their total energy E increases (!). This corresponds to moving from B → A in the figure right. This kind of "virial stability" only applies to the ideal gas law.

    • Obtain the (dynamical) mass by measuring the linewidth.
Dark clouds — by measuring the gas velocity dispersion (linewidth) we obtain a measure of the mass of the cluster.
Globular clusters — by measuring the stellar velocity dispersion (rms-velocity) we obtain a measure of the mass of the cluster.

Virial Theorem — applications

Andromeda galaxy. (c) Peter Forister

Andromeda-Milky Way merger

The Andromeda galaxy will be merging with the Milky Way galaxy in a few billion years. Assume the galaxies are equal in their properties (mass, size, rotation velocity) and that the merger product is again a spiral galaxy.


By the virial theorem, what is the rotational velocity of the merger galaxy?

  1. lower than the present-day
  2. the same
  3. higher than the present-day

Also, what is the radius R of the merger galaxy?

  1. slightly smaller than the present size
  2. the same as the present size
  3. slightly larger than the present
  4. slightly smaller than 2x the present
  5. twice that of the present
  6. larger than 2x the present

Star formation

— read CO 12.2 —

 

The condition for a spherical, uniform cloud to collapse is when its mass exceeds the Jeans mass

When the total energy of the cloud decreases when it is perturbed. If we insert numerical constants for the numbers and write the densities in terms of the number density we obtain

Note some (giant) clouds have suggesting that the should collapse! In reality, these clouds feature additional support mechanisms (like magnetic support). Hence the condition is a necessary but not (always) sufficient condition for collapse.

Star formation

— read CO 12.2 —

 

If the cloud is out of equilibrium, it collapses on a free-fall time

  • During collapse of the cloud, ρ increases and the Jeans mass decreases. The cloud fragments with the fragments collapsing on their own.
  • The isothermal collapse, requires efficient cooling.
  • An increase in temperature, on the other hand, opposes cloud fragmentation, causing MJeans to rise

Star formation

— read CO 12.2 —

 

  • An increase in temperature, on the other hand, opposes cloud fragmentation, causing MJeans to rise

By balancing the heat generated by the collapse with the expression for blackbody radiation applicable when the cloud starts to cool less efficienty ( becomes adiabatic) we can solve for the mass where the fragmentation terminates

where I have omitted numerical factors and ε~0.1 is an efficiency factor. For T=103 K, we obtain .


This is of course an extremely crude estimate. But it tells that the protostar that forms at the end of the collapse state are of stellar mass — not of planet mass or the mass of galaxy. Further accretion onto this protostar will of course occur.

Schematic of how the Jeans mass evolves under collapse of the cloud. Intially, when T is contant, the Jeans mass decreases with density. The cloud therefore fragments. After some point, the heat produced by the collapse (virial theorem!) can no longer escape. In that limit, the collapse becomes adiabatic, T increases and fragmentation is halted.

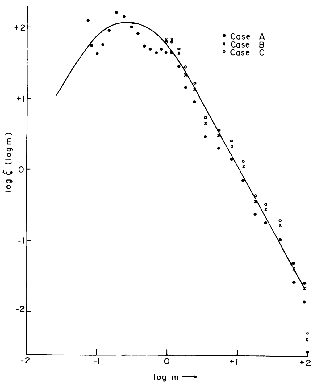
Initial mass function (IMF)

— read CO p.430 —

The Initial Mass Function or simply IMF is the distribution of stars formed by stellar mass

So ξ(m)Δm gives the number of stars that are formed in mass interval [m,m+Δm]


The IMF follows (steep) power-laws at high masses, but it turns over at low stellar masses (it has to!)


The origin of the IMF is an area of active research in star formation

log10 (m/msun)
mξ(m)
~m-1.8
IMF in the solar neighborhood Rana (1987)

Eddington Luminosity

  • Thomson cross section

Eddington Luminosity

— read CO 10.6 —

 

Accelerating charges radiate energy at a rate (Larmor formula):

(cgs units) with P is the power, q the charge the acceleration, c the speed of light.

The Thomson cross section for photons to interact with electrons

Valid in the low-energy (no recoil) limit, the photon energy does not change. It follows from equating the radiated power to the incoming energy flux:

The Thomson cross section can also be obtained by equating the electrostatic energy corresponding to a sphere of radius rT with the rest energy of the electron The corresponding cross section is the Thompson cross section barring numerical constant.

schematic of the interaction of an electromagnetic wave with a charged particle. Due to oscillating E-field, the particle (electron) experiences a force of

in the direction of the E-field, causing it to radiate. In the low-energy limit, the frequency of the radiation is just the same as that of the incoming wave, resulting in a scattering of the EM-wave (Thomson scattering).

Eddington Luminosity

— read CO 10.6 —

 

The Thomson cross section for photons to interact with electrons

Valid in the low-energy (no recoil) limit, the photon energy does not change.

This results in a radiation force of

on the electrons, which when balanced with the gravitational force (acting on all baryons).

although electrons are point particles, they do interact with photons. The cross section σ over which they interact (in the non-relativistic limit) is known as the Thomson cross section.

Eddington Luminosity

— read CO 10.6 —

 

Balancing with the gravitational force, results in the Eddington Luminosity

Another, more general, way to write this is, is in terms of the opacity κ — the cross section per unit mass κ=σ/(me+mp) in this case. We then obtain .

  • For luminosities, the star will be ripped apart
  • On the main-sequence, the stellar mass-luminosity relationship is a power-law

    The Eddington Luminosity sets an upper mass for stars!

although electrons are point particles, they do interact with photons. The cross section σ over which they interact (in the non-relativistic limit) is known as the Thomson cross section.

Dispersion Analysis

  • Linear stability analysis
  • Dispersion relationship for clouds and disks
  • Toomre-Q criterion
  • Giant planet formation and planetesimal formation

Dispersion relation

The fluid equations:

where the E.o.S is chosen as isothermal (constant temperature), such that cs — the isothermal sound speeed — is constant.

To 0th order, for a uniform cloud, the solutions to these equations read simply:

in a dispersion analysis, we consider how wave-like perturbations across a scale λ (or spatial frequency k) superimposed on a "0th-order" background solution fare: do they remain wave-like (positive ω2) or will they grow (negative ω2)?

Dispersion relation

A linearly stability analysis quantifies how the system reacts to small perturbations that are wave-like in nature, e.g.,

with k the wavenumber and ω the frequency (or growth rate when it is imaginary!). Without loss of generality we have assumed that the wave travels in the x-direction. Note than ω can be complex, so the wave can grow (or decay)!


After some algebra, you arrive at the perturbation equations

in a dispersion analysis, we consider how wave-like perturbations across a scale λ (or spatial frequency k) superimposed on a "0th-order" background solution fare: do they remain wave-like (positive ω2) or will they grow (negative ω2)?

Dispersion relation

The solution to the linearly stability analysis is the dispersion relationship:

A dispersion relationship is a relation between the scale of the perturbation (k) and the growth rate (ω).

We obtain:

  • small scales (large k): ω2 is positive: perturbations remain wave-like and do not grow!
  • large scales (small k): ω2 is negative: perturbations grow exponentially and are unstable!
  • a critical scale

    You can verify that amounts to the Jeans mass, barring a numerical coefficient

Dispersion relation & planet formation

For disks the steady solution reads:

the assumption here is that the disk is thin. It does not need to be Keplerian rotating, but it should satisfy Also, we consider that the disk is axisymmetric (quantities do not depend on φ) and consider radial perturbations only (k oriented in the radial direction).

... and the dispersion relationship is

where is the epicycle frequency. For a Keplerian potential . Note that has a minimum corresponding to the critical wavelength.

Dispersion relation & planet formation

... and the dispersion relationship is

We obtain the following:

  • The most critical wavelength is 
  • The disk becomes gravitationally unstable when the Toomre-Q parameter
  • The corresponding mass is .

    Question:
    Is QT <1 the only criterion for gravitational instability to result in collapse?

Dispersion relation & planet formation

... and the dispersion relationship is

We obtain the following:

  • The most critical wavelength is 
  • The disk becomes gravitationally unstable when the Toomre-Q parameter
  • The corresponding mass is .
  • In addition, gravitational collapse requires fast enough cooling

    Quantitatively . Otherwise the formed clumps will just be sheared apart

Dispersion relation & planet formation

... and the dispersion relationship is

We obtain the following:

  • The most critical wavelength is 
  • The disk becomes gravitationally unstable when the Toomre-Q parameter QT<1.
  • In addition, gravitational collapse requires fast enough cooling
  • For dust particles, can be used, amounting to a critical scale of

Hence, particles need to settle. The settling of particles is promoted by the stellar gravity, but opposed by turbulence.

in order to form planetesimals by the Goldreich-Ward mechanisms, solid particles need to settle into a thin layer at the disk midplane.

For the 2D analysis to remain valid, we must have (thin disks). In other words, particles must settle into a thin layer. This is the classical mechanism to form km-sized bodies (planetesimals), also known as the Goldreich-Ward mechanism, see Goldreich & Ward (1973)  

effects of cooling

Smooth Particle Hydrodynamics (SPH) simulations of gravitational instability in disks

  1. standard (fast cooling)
  2. slow cooling

effects of cooling

Smooth Particle Hydrodynamics (SPH) simulations of gravitational instability in disks

  1. standard (fast cooling)
  2. slow cooling

Protoplanetary disks

What are we looking at?

This is hl tau, observed at mm-wavelengths by ALMA. These wavelengths trace the large dust particles in the disk midplane. Intriguing axisymmetric structure —rings— appear

figure credit wikipedia/ESO

you are looking here at mm-wavelength emission
these wavelengths trace the disk midplane

Star formation — Classes

(a)
(b)
(c)
(d)
(e)
(f)
(c) M. Hogerheijde after Shu et al. (1987)
  1. Dark cores form and become unstable when their gravitational potential energy dominates thermal energy:
    (mass exceeds Jeans mass)
  2. The collapse takes place on the free-fall timescale
    this is the embedded phase Class 0

Star formation — Classes

(a)
(b)
(c)
(d)
(e)
(f)
(c) M. Hogerheijde after Shu et al. (1987)
  1. A star has formed. Class 1. An outflow develops, while material is still accreting onto the star. A disks forms.
  2. Accretion and outflow weaken. This is the stage where planets are thought to form. Class 2 or the T-Tauri phase.
  3. After the gas clears, a debris disks may be left

    Debris disk consist of solid material that did not assemble into planetary bodies. In the solar system the asteroid belt and the Kuiper belt are debris disks

  4. A planetary system emerges. The final architecture of the planet system is set when orbital stability is reached.

the protoplanetary disks (observations)

read CO p.437—441 & Ch.23.2

 

Properties

  • disks are naturally formed as byproduct of star formation due to angular momentum conservation
  • disks are usually dusty, obscuring the interior disk midplane regions
Q: Where is the star in this image?
IRAS 04302 — an example of an edge-on disk. Picture taken with the Hubble Space Telescope (visible wavelength).

the protoplanetary disks (observations)

read CO p.437—441 & Ch.23.2

 

Properties

  • disks are naturally formed as byproduct of star formation due to angular momentum conservation
  • disks are usually dusty, obscuring the interior disk midplane regions
  • the dust results in an IR-excess

    the total integrated emission is a superposition of several black body curves. The IR-excess is how disks were historically detected

spectral energy distribution. The dusty disk is responsible for an IR-excess.

the protoplanetary disks (observations)

read CO p.437—441 & Ch.23.2

 

Properties

  • disks are naturally formed as byproduct of star formation due to angular momentum conservation
  • disks are usually dusty, obscuring the interior disk midplane regions
  • the dust results in an IR-excess
Short-wavelengths photons tend to be more easily absorbed by dust grains; their absorption cross section is similar to the geometrical cross section. On the other hand, photons of wavelength much larger than the grain size barely interact with the dust grain. This is the Rayleigh scattering limit.

the protoplanetary disks (observations)

read CO p.437—441 & Ch.23.2

 

Properties

  • disks are naturally formed as byproduct of star formation due to angular momentum conservation
  • disks are usually dusty, obscuring the interior disk midplane regions
  • the dust results in an IR-excess
  • Minimum-mass solar nebula (MMSN)

    By spreading out the heavy element mass of the planets over rings, Weidenschilling (and Hayashi) obtained a crude prescription of the dust and gas density during the time of the formation of the planets. This prescription — known as the Minimum-Mass Solar Nebula — has many flaws, but serves as a useful benchmark. A frequently-used profile is:


Reconstruction of the early disk surface density from the current position of the planets in the solar system. Weidenschilling (1977)

surface density
Q: How did Weidenschilling get
these numbers?
Weidenschilling was brave
enough to fit a power-law!

the protoplanetary disks (observations)

read CO p.437—441 & Ch.23.2

 

Properties

  • disks are naturally formed as byproduct of star formation due to angular momentum conservation
  • disks are usually dusty, obscuring the interior disk midplane regions
  • the dust results in an IR-excess
  • Minimum-mass solar nebula (MMSN)
  • disks are observed to accrete onto their host star at rates of  

    Mass and angular momentum are being transported.

Herczeg & Hillenbrand (2008)  — emission lines in the ultra violet (UV). These emission lines, observed frequently around Class 1, 2 sources, betray the presence of accretion.

The emission lines can be modeled, which provides the accretion luminosity Lacc. The accretion luminosity and accretion rate are related through:

the protoplanetary disks (observations)

read CO p.437—441 & Ch.23.2

 

Properties

  • disks are naturally formed as byproduct of star formation due to angular momentum conservation
  • disks are usually dusty, obscuring the interior disk midplane regions
  • the dust results in an IR-excess
  • Minimum-mass solar nebula (MMSN)
  • disks are observed to accrete onto their host star at rates of  

    Mass and angular momentum are being transported.

Manara et al. (2016)  — measurements of the accretion rate

the protoplanetary disks (observations)

read CO p.437—441 & Ch.23.2

 

Properties

  • disks are naturally formed as byproduct of star formation due to angular momentum conservation
  • disks are usually dusty, obscuring the interior disk midplane regions
  • the dust results in an IR-excess
  • Minimum-mass solar nebula (MMSN)
  • disks are observed to accrete onto their host star at rates of  
  • Accretion terminates over timescales of ~Myr

    A natural explanation is that the gas disk is gone after several Myr. It sets a timescale for the formation of gas giant planets

Fedele et al. (2010)  Fraction of stars showing accretion (gas) and those with a near-IR excess (dust)
Disks (theory)
(c) Phil Armitage
The protoplanetary disk is a
giant laboratory of fundamental
physical and chemical processes
A key problem is to understand
how disks accrete; how material
is transported inwards and onto the star
(c) Phil Armitage

Angular momentum (AM) transport

  • In a Keplerian-rotating disk, rings at different radii move at different (Keplerian) velocities. This causes shear ("friction").

    The faster-moving inner rings will lose AM to the exterior ring, but gain it from the interior ring. One says that AM is being transported

  • This results in a torque on the ring, which magnitude is proportional to the   (kinematic) viscosity ν. One can derive the transport equation for the surface density:
  • However, the molecular viscosity is too low; an anomalous (turbulent) viscosity produced by some instability is needed. A key question is which instability provides this anomalous viscosity.
rings move (to 0th order) at Keplerian velocity. This produces a radial shear since

Angular momentum (AM) transport

  • However, the molecular viscosity is too low; an anomalous (turbulent) viscosity produced by some instability is needed. A key question is which instability provides this anomalous viscosity.

Two leading contenders for angular momentum transport are the Magneto-rotational instability (MRI) or disk winds.

Magneto-rotational instability
Disk winds. Bai (2013)

 

Elements of planet formation

 

 

 

 

(~μm)
(~mm—cm)
(~km)

 

(~μm)
(~mm—cm)
(~km)
(~0.1 ME)

 

(~μm)
(~mm—cm)
(~km)
(~0.1 ME)
(~1 ME)

 

(~μm)
(~mm—cm)
(~km)
(~0.1 ME)
(~1 ME)
(~10 ME)

 

(~μm)
(~mm—cm)
(~km)
(~0.1 ME)
(~1 ME)
(~10 ME)
(>100 ME)

 

Core accretion and Disk instability

There are two main paradigms for the formation of planets:

  1. disk instability: planets form following a gravitational instability in the gas disk
  2. core accretion: planet formation occurs bottom-up by coagulation (collisions between solid particles)

    —initially, solids stick due to surface forces
    —later, bodies are held together by gravity

    (at intermediate sizes sticking is problematic)

Elements of Core Accretion Model

  • Pressure-supported disk
  • Core accretion: collision time
  • Core accretion: gravitational focusing

Elements of planet formation

There are many more concepts in this field. A good reference work is Armitage (2010).

Planet formation concepts:

  • gas disk structure

    gas in disks is supported by both rotation AND (a little bit) by pressure:

    This means that disks are rotating slightly sub-Keplerian. This is important as it results in radial drift.

  • growth timescales
  • gravitational focusing
pressure balance in the disk. Due to (a little) hydrostatic support, the disk gas rotates at a velocity slightly below Keplerian.

Elements of planet formation

There are many more concepts in this field. A good reference work is Armitage (2010).

Planet formation concepts:

  • gas disk structure
  • growth timescales

    A simple n-σ-Δv calculation shows:

    where R is the particle radius the particle internal density, ρdust the volume density in dust (or planetesimals etc.), and Δv the relative velocity.
    — growth timescales increase with distance (lower ρdust)

    — growth timescales increase with size R

  • gravitational focusing
the cross section for collisions is σ=π(s1+s2)2

Elements of planet formation

There are many more concepts in this field. A good reference work is Armitage (2010).

Planet formation concepts:

  • gas disk structure
  • growth timescales
  • gravitational focusing

    gravitational focusing greatly accelerates growth. We can obtain the collisional impact parameter by equating the angular momentum and energy at infinity and at impact:

    this is much larger than the geometrical cross section

    A consequence of gravitational focusing is that the growth time decreases, (as long as Δv remains the same), resulting in the phenomenon of runaway growth.

gravitational focusing

Planet formation challenges

(no exam material)

 

The core accretion model is more popular since it also explains the small bodies and terrestrial planets. Yet:

  • The process is hard to observationally constrain as planet formation is rapid (~106 yr) and takes place in a dusty disk.

    recent progress are high resolution observations with ALMA, and also an increasingly complete sample of exoplanets

This is HL tau again. (c) ALMA Partnership et al. (2015)

Planet formation challenges

(no exam material)

 

The core accretion model is more popular since it also explains the small bodies and terrestrial planets. Yet:

  • The process is hard to observationally constrain as planet formation is rapid (~106 yr) and takes place in a dusty disk.
  • Collision/growth timescales are short in the inner disk, but become longer with distance to the star.

    recent theoretical ideas include pressure maxima and pebble accretion

in the pebble accretion mechanism, small particles get trapped in the gravitational potential of a planet and are captured efficiently. (c) Chris Ormel.

Planet formation challenges

(no exam material)

 

The core accretion model is more popular since it also explains the small bodies and terrestrial planets. Yet:

  • The process is hard to observationally constrain as planet formation is rapid (~106 yr) and takes place in a dusty disk.
  • Collision/growth timescales are short in the inner disk, but become longer with distance to the star.
  • Small grains stick due to surface forces (like vd Waals), large bodies through gravitational forces, but at intermediate scales there is no clear cohesion mechanism (meter size barrier).

    it has been suggested that the problematic meter size barrier can be overcome by gravitational instability, such as the streaming instability

streaming instability. These are 3D fluid simulations including (super)particles. Johansen et al. (2011)

Planet formation challenges

(no exam material)

 

The core accretion model is more popular since it also explains the small bodies and terrestrial planets. Yet:

  • The process is hard to observationally constrain as planet formation is rapid (~106 yr) and takes place in a dusty disk.
  • Collision/growth timescales are short in the inner disk, but become longer with distance to the star.
  • Small grains stick due to surface forces (like vd Waals), large bodies through gravitational forces, but at intermediate scales there is no clear cohesion mechanism (meter size barrier).
  • Particles as well as planets tend to migrate on short timescales, because of aerodynamic and gravitational drag forces.

    planet migration may explain the close-in planet population, but it is unclear how significant disk migration is (and how to avoid it)

end of module 5

—congrats—